小型环状多肽拥有广泛的生物特性及独特的结构,使其在从医药到材料化学等多个领域吸引着科学家的关注。然而,环四肽(CTPs)作为这一家族的重要成员,合成难度颇大。研究人员为获取天然产物CTPs及其理性设计的新型分子结构的合成类似物,发展了一系列合成策略。本文将介绍合成环四肽的相关策略。
1、环四肽合成难点
在环肽类药物的应用中,环四肽符合筛选类药分子的类药五原则,是具有吸引力的药物先导化合物。根据环化模式,使用天然氨基酸的四肽环化可形成一系列12-18元环的同链或杂链环四肽,其中高度受限的12元环四肽的合成最具挑战性。
首先,12元环四肽的非相邻碳原子之间的取代基会形成额外的跨环相互作用,线性前体在环化时,平面的酰胺键会发生扭曲,导致环四肽具有较大的分子张力,从而使合成变得困难。其次,在常规合成中,线性四肽的链长较短,即使在高度稀释的条件下,也可能主要生成分子间寡聚物。最后,线性肽在环化过程中还需要考虑消旋和异构体的问题。因此,想要得到纯度高、产物单一的环四肽,其难度是可想而知的。
2、环肽合成影响因素
在肽合成中的环化步骤中,内外因素都起着重要作用。在内部因素中,线性前体的构象、含有引发转角的基序(如D-型氨基酸、脯氨酸、假脯氨酸或N-甲基化氨基酸),以及环化点处的氨基酸类型最为关键。外部因素则包括偶联剂、添加剂以及反应条件(如温度、稀释度等)。
2.1 内部因素
在环肽合成前,需对环进行剖析以进行逆向合成分析,确定线性前体在溶液中的构象。
环状肽合成需确保线性肽链的N端和C端在空间上接近,以使分子内环化反应相对于竞争性的分子间反应更具优势。然而,肽键的反式几何结构导致肽链伸展,使得这种接近变得不常见。将L型和D型氨基酸混合配置、在线性肽序列的中间位置引入转角诱导元素以诱导局部顺式构型、利用可逆辅助剂及体积庞大的保护基团、以及设计肽序列以包含链内氢键等策略,均可有助于促进末端接近。
顺式(cis)和反式(trans)四肽构象
环化点处的氨基酸应选择具有最小或没有空间位阻的(脯氨酸是例外),其在α-碳原子上的构型应相反(L-和D-构型),C末端可使用D-氨基酸等。
2.2 外部因素
在多肽合成和环化步骤中,添加顺序及合适的偶联试剂对成功形成正确的环单体至关重要。比如使用反应性较低的HOBt基偶联试剂有助于减少副产物的生成、PyBOP能避免胍基封端和减少消旋化、HOAt基偶联试剂能促进氢键过渡态形成等。最近,炔酰胺作为缩合试剂,间接实现了以无保护氨基酸为原料的逆向多肽合成,并且实现了多肽片段连接和五肽首尾环化。
除了偶联试剂外,合适的添加剂有助于改善反应效率、适当的稀释则可以帮助减少副产物的形成,提高产物的纯度。
3、环四肽具体合成策略
3.1 假稀释策略
树脂上环化具有固相合成的优点,可简单地在玻璃容器中进行,避免了溶解性问题,减少了寡聚副产物生成。然而,该方法需要一个氨基酸(如Asp、Glu、His等)的侧链可以连接到固相载体上。为了完成头尾环化反应,还需要采用三维正交保护策略。
通过三维正交方法实现固相肽环化
3.2 伪脯氨酸策略
该方法中的环四肽需含有丝氨酸、苏氨酸或半胱氨酸,它们的侧链在酸催化下通过环缩合反应生成伪脯氨酸残基的噁唑烷和噻唑烷。此外,伪脯氨酸可能难以酰化,需预先制备二肽单元。
利用伪脯氨酸合成环四肽
3.3 环收缩策略
环收缩策略的原理是基于较大环(大于 12 元环)的环化,这种环比原始目标受的限制较小,随后通过分子内收缩生成所需的肽。
该环化技术是通过将光敏性的辅助分子2-羟基-6-硝基苯甲醛(HnB)引入至肽链的N端,经过缩合反应形成16元环脱脂肽。通过O-to-N的酰基迁移获得N-取代环四肽。最终,利用光解反应移除HnB基团。
在实施该方法时,需考虑在光解操作前及过程中的降解、保护肽的低环化效率、外消旋化趋势以及副产物生成等挑战。
利用HnB合成环四肽
3.3.2 (E)-2-(2-硝基烯基)苯酚介导
该方法利用N-末端带有Boc保护基的肽与苯酚基团形成酯,随后移除Boc保护基以释放N-末端氨基。释放出的氨基通过分子内的迈克尔加成反应攻击辅助剂中的烯烃部分形成中间体。经过O-to-N酰基转移和辅助剂的同步释放,最终得到目标环肽。
(E)-2-(2-硝基乙烯基)酚(17)辅助试剂介导合成环四肽
3.3.3 分子内 Ser/Thr 连接法
分子内Ser/Thr连接法要求N-末端具备Ser或Thr残基,同时在C-末端连接水杨醛(SAL)酯。先反应形成头尾相连的16元亚胺中间体。随后,通过分子内的O-to-N酰基转移形成N,O-苄腙缩醛中间体。最后,在酸催化条件下去除缩醛基团。
这一方法在热力学上是有利的,肽链能够快速且选择性地捕获成环,可以无需转角诱导元素,C-末端也没有消旋化问题。

分子内丝氨酸/苏氨酸连接合成环四肽
3.3.4 四肽酰肼环化
该方法不会导致C端氨基酸消旋,环化产率较高,但对温度、反应浓度和酸碱性要求较高,还需加入大量硫化剂。
多肽酰肼合成环四肽
3.3.5 苯酚硒酯环化
将未保护的线性四肽的C端转化为苯硒酚酯,使其与N端的半胱氨酸发生类似自然化学连接的反应,再通过分子内的N-to-S交换,成功形成了首位相连的环四肽。这种方法未观察到消旋现象,且聚合物的含量相对较低。
苯硒酚酯促进合成环四肽
3.4 铜(I)催化的点击环化反应
三唑肽是强效酪氨酸酶抑制剂cyclo(L-Pro-L-Val-L-Pro-L-Tyr)的一种含三唑类似物,其合成一直难以实现。通过Cu(I)催化的点击环化反应,成功地引入了一个1,4-二取代的1,2,3-三唑作为反式酰胺键的替代物,高效地制备了这种三唑肽(产率为70%)。

铜(I)催化的炔烃-叠氮化物环加成机制
3.5 其他合成策略
除了广泛采用的方法之外,还有一些用于合成高度受限的环状四肽的其他方法被报道过。不过,这些方法的应用并不普遍。以下我们将简要介绍这些替代性的合成方法:
3.5.1 模板金属环化
模板金属环化基于二肽酯与金属形成复合物,利用金属复合物将二肽酯中的活性N端和C端置于接近的空间位置,从而促进环状结构的形成。
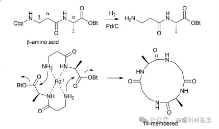
研究人员使用镍(Ni(II))成功形成了环状四肽(12元环),这是因为镍离子具有理想的离子半径,以促进四肽的环化反应。此外,还有利用以钯催化的一锅法脱保护/环化二聚方法合成含β-氨基酸的C2对称环状四肽。
四肽的镍(II)模板环化
钯催化的一锅法脱保护/环化二聚方法
3.5.2 分子印迹聚合物
该方法首先在聚合物-纤维素复合材料中创建分子印迹空腔,然后这些空腔被用作模板以诱导线性四肽进行环化。
利用分子印迹聚合物合成环状四肽
此外,在环化步骤中,利用含氟醇作为共溶剂以及无痕施陶丁格环收缩策略等,是合成环状四肽的潜在方法。
每种合成方法的选择都取决于目标分子的特性、所需的产率和纯度,以及实验的可行性。在实际应用中,可能需要结合多种策略来优化合成过程。


联系我们
返回